Science of Hydrocolloids in Cooking

What is a hydrocolloid?

A hydrocolloid is defined as a colloid system wherein the colloid particles are hydrophilic polymers dispersed in water. A hydrocolloid has colloid particles spread throughout water, and depending on the quantity of water available that can take place in different states, e.g., gel or sol (liquid). Hydrocolloids can be either irreversible (single-state) or reversible. For example, agar, a reversible hydrocolloid of seaweed extract, can exist in a gel and solid state, and alternate between states with the addition or elimination of heat.

Many hydrocolloids are derived from natural sources. For example, agar-agar and carrageenan are extracted from seaweed, gelatin is produced by hydrolysis of proteins of mammalian and fish origins, and pectin is extracted from citrus peel and apple pomace. 

Gelatin desserts like jelly or Jell-O are made from gelatin powder, another effective hydrocolloid. Hydrocolloids are employed in food mainly to influence texture or viscosity (see: food thickening agents). Hydrocolloid-based medical dressings are used for skin and wound treatment. 

Major hydrocolloids used in cooking 

STARCH

Structure of the amylose molecule.
Structure of the amylopectin molecule.

 

All purpose flour is the most popular food thickener, followed by cornstarch and arrowroot or tapioca. All of these thickeners are based on starch. As the thickening agent Starch is the most commonly used hydrocolloid. or amylum is a carbohydrate consisting of a large number of glucose units joined together by glycosidic bonds. This polysaccharideis produced by all green plants as an energy store. It is the most important carbohydrate in the human diet and is contained in such staple foods as potatoes, wheat, maize (corn), rice. Pure starch is a white, tasteless and odorless powder that is insoluble in cold water or alcohol. It consists of two types of molecules: the linear and helical amylose and the branched amylopectin. Depending on the plant, starch generally contains 20 to 25% amylose and 75 to 80% amylopectin Read more

  

XANTHAN GUM 

Xanthan Gum is becoming the "go to" hydrocolloid for professional and home cooks. It's easy to use and very powerful in small quantities. Xanthan gum has long been used in the food industry for products such as, ice-cream, salad dressing and sauces and is now available in many food stores. Unlike most starches no heat is necessary for xanthan gum to hydrate. Xanthan gum is a high-molecular weight polysaccharide produced by the microorganism Xanthomonas campestris using microbial fermentation. Xanthan gum is a hetero-polysaccharide with a very high molecular weight (between one and several million). Its main chain is made up of glucose units, the backbone being similar to cellulose, with added sidechains of trisacharides (three sugars in a chain).  Read more

GUAR GUM 

Chemically, guar gum is a polysaccharide composed of the sugars galactose and mannose. The backbone is a linear chain of ß 1,4-linked mannose residues to which galactose residues are 1,6-linked at every second mannose, forming short side-branches. Guar gum is economical because it has almost 8 times the water-thickening potency of cornstarch - only a very small quantity is needed for producing sufficient viscosity. Thus it can be used in various multi-phase formulations: as an emulsifier because it helps to prevent oil droplets from coalescing, and/or as a stabilizer because it helps to prevent solid particles from settling. . At (acidic) pH levels below 4.5, guar gum has sharply reduced aqueous solubility, thus also reducing its thickening capability. Read more

LOCUST BEAN GUM 

Locust bean gum is used as a thickening agent and gelling agent in many food applications such as fresh dairy, frozen dairy, condiments and processed fruit & vegetables. Locust bean gum has a neutral taste, consumer preferred texture, and can improve viscosity. LBG is used in ice cream to improve texture and reduce ice cream meltdown. The backbone is a linear chain of β 1,4-linked mannose residues to which galactose residues are 1,6-linked at -- about 3.5 (2.8 - 4.9) mannose residues for every galactose residue.every second mannose, forming short side-branches. Read more

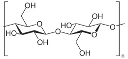
AGAR AGAR 

Agar or agar-agar is a gelatinous substance derived from a polysaccharide that accumulates in the cell walls of agarophyte red algae. Historically and in a modern context, it is chiefly used as an ingredient in desserts throughout Asia and also as a solid substrate to contain culture medium for microbiological work. The gelling agent is an unbranched polysaccharide obtained from the cell walls of some species of red algae, primarily from the genera Gelidium and Gracilaria, or seaweed (Sphaerococcus euchema). Chemically, agar is a polymer made up of subunits of the sugar galactose. Read more PECTIN 

PECTIN

molecule of agarose from agar

Pectin is a  structural polysaccharide that is integral for the stability of plant cell walls. The biological function of pectin is to cross-link cellulose and hemicellulose fibers, providing rigidity to the cell wall. Pectin is also a major component of the middle lamella, where it helps to bind cells together. 

ALGINATE 

Alginic acid, also called algin or alginate, is an anionic  polysaccharide distributed widely in the cell walls of sea weed. Sodium alginate is soluble in cold and hot water with strong agitation and can thicken and bind. In presence of calcium, sodium alginate forms a gel without the need of heat.

GELATIN 

Gelatin is a mixture of peptides and proteins  produced by partial hydrolysis of collagen  extracted from the skin, bones, and connective tissues of animals such as domesticated cattle, beef and fish. During hydrolysis, the natural molecular bonds between individual collagen strands are broken down into a form that rearranges more easily. Its chemical composition is, in many respects, closely similar to that of its parent collagen. 

CARAGEENAN 

Carageenan are a family of linear sulphated polysaccharides  that are extracted from rededible seaweeds. 

molecule of agarose from agar

They are widely used in the food industry, for their gelling, thickening, and stabilizing properties. Their main application is in dairy and meat products, due to their strong binding to food proteins. There are three main varieties of carrageenan, which differ in their degree of sulphation. Kappa-carrageenan has one sulphate group per disaccharide. Iota-carrageenan has two sulphates per disaccharide. Lambda carrageenan has three sulphates per disaccharide. 

WHAT IS THE DIFFERENCE BETWEEN STARCH AND CELLULOSE? 

hen alpha-glucose molecules are joined chemically to form a polymer starch is formed. When beta-glucose molecules are joined to form a polymer cellulose is formed. 

molecule of amylose from starch

Starch: Alpha glucose is the monomer unit in
starch.

As a result of the bond angles in the alpha acetal linkage, starch (amylose) actually forms a spiral structure.

monomer unit of cellulose

Cellulose: Beta glucose is the monomer unit in cellulose.

As a result of the bond angles in the beta acetal linkage, cellulose is mostly a 
linear chain.

Read more about Solutions Suspensions and Colloids